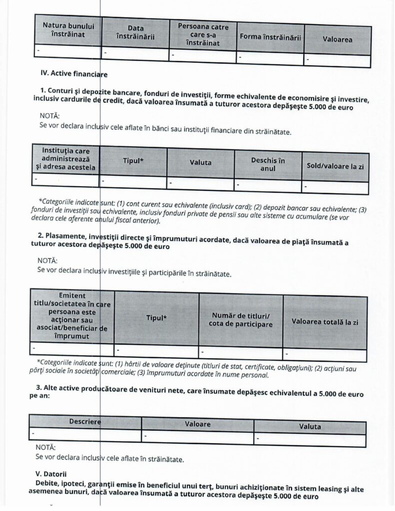
Declaratie avere 1 februarie 3, 2026 Admin Comments are off Category:Conducere Despre noi Uncategorized